Официальное опубликование правовых актов
ОФИЦИАЛЬНОЕ ОПУБЛИКОВАНИЕ
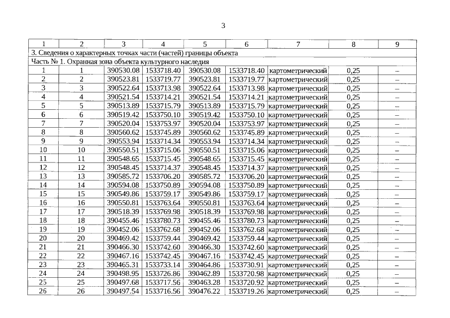
Приказ Управления государственной охраны объектов культурного наследия Свердловской области от 11.01.2023 № 8
"О внесении изменений в зоны охраны объекта культурного наследия регионального значения "Дом купца Н.А. Грачева", расположенного по адресу: Свердловская область, г. Екатеринбург, ул. Чернышевского, д. 2, утвержденные приказом Управления государственной охраны объектов культурного наследия Свердловской области от 23.12.2021 № 506"
Номер опубликования: 6601202301130005
Дата опубликования: 13.01.2023
Страница №3 из 5:
Увеличить