Официальное опубликование правовых актов
ОФИЦИАЛЬНОЕ ОПУБЛИКОВАНИЕ
Приказ Управления государственной охраны объектов культурного наследия Свердловской области от 26.12.2022 № 1035
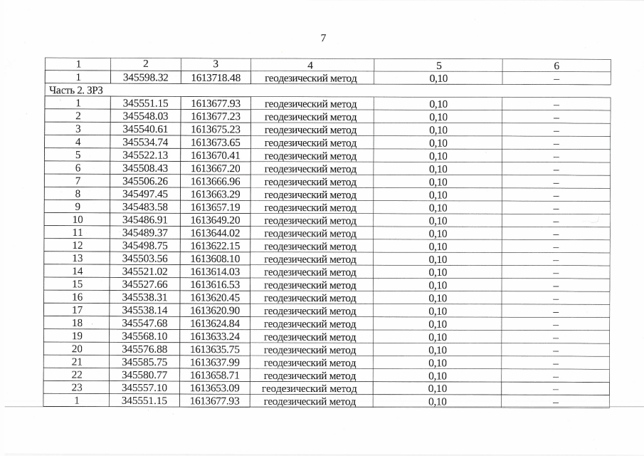
"Об установлении зон охраны объекта культурного наследия регионального значения "Усадьба смотрителя завода" и входящих в его состав объектов культурного наследия регионального значения "Здание, в котором в 1917–1918 гг. находился штаб Красной Гвардии, здесь же была организована первая комсомольская организация в городе" и "Постройка хозяйственная. (Здание, в котором в 1917–1918 гг. находился штаб Красной Гвардии, здесь же была организована первая комсомольская организация в городе)", расположенных по адресу: Свердловская область, г. Каменск-Уральский, ул. Ленина, д. 119, и утверждении требований к градостроительным регламентам в границах данных зон"
Номер опубликования: 6601202212270012
Дата опубликования: 27.12.2022
Страница №7 из 14:
Увеличить