Официальное опубликование правовых актов
ОФИЦИАЛЬНОЕ ОПУБЛИКОВАНИЕ
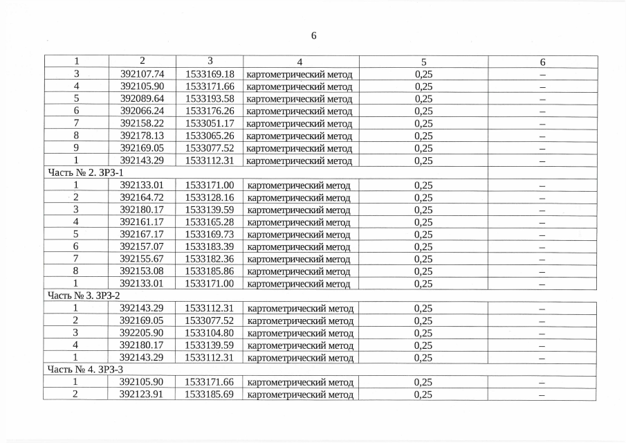
Приказ Управления государственной охраны объектов культурного наследия Свердловской области от 30.11.2022 № 924
"Об установлении зон охраны объекта культурного наследия регионального значения "Симановская мельница" и входящих в его состав объектов культурного наследия регионального значения "Четырехэтажное каменное здание мельницы" и "Здание лаборатории", расположенных по адресу: Свердловская область, г. Екатеринбург, ул. Челюскинцев, д. 58, и утверждении требований к градостроительным регламентам в границах данных зон"
Номер опубликования: 6601202212010002
Дата опубликования: 01.12.2022
Страница №6 из 14:
Увеличить