Официальное опубликование правовых актов
ОФИЦИАЛЬНОЕ ОПУБЛИКОВАНИЕ
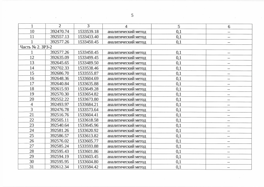
Приказ Управления государственной охраны объектов культурного наследия Свердловской области от 25.11.2022 № 903
"Об установлении зон охраны объекта культурного наследия регионального значения "Здание штаба железнодорожных войск", расположенного по адресу: Свердловская область, г. Екатеринбург, ул. Братьев Быковых, д. 34а, и утверждении требований к градостроительным регламентам в границах данных зон"
Номер опубликования: 6601202211300002
Дата опубликования: 30.11.2022
Страница №5 из 10:
Увеличить