Официальное опубликование правовых актов
ОФИЦИАЛЬНОЕ ОПУБЛИКОВАНИЕ
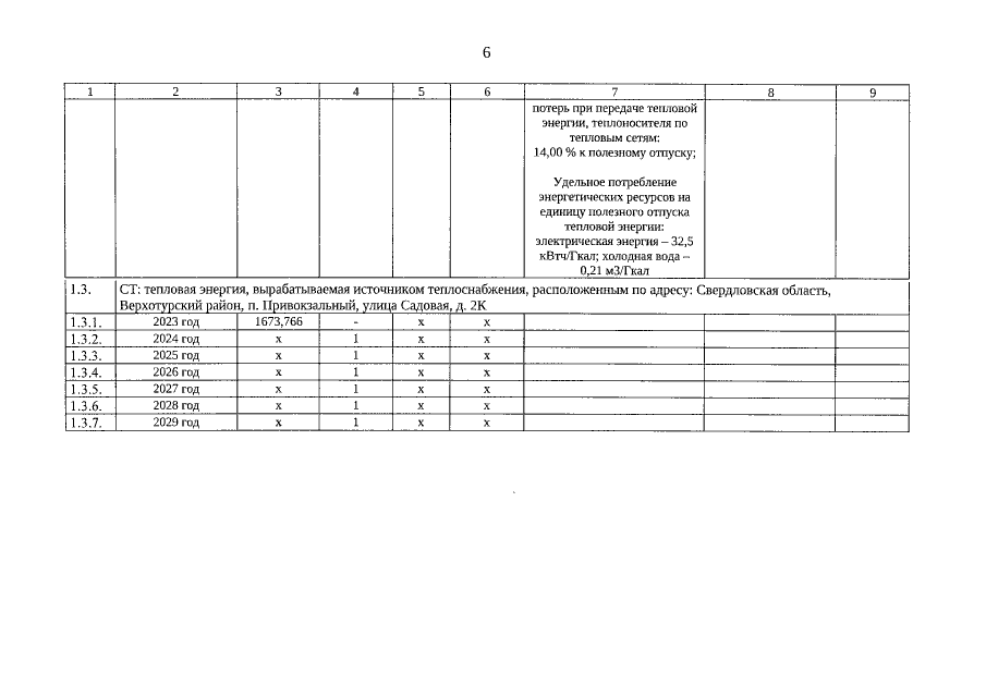
Постановление Региональной энергетической комиссии Свердловской области от 15.11.2022 № 198-ПК
"Об установлении тарифов на тепловую энергию, поставляемую обществом с ограниченной ответственностью "Гефест" (поселок Привокзальный) на территории городского округа Верхотурский, и о внесении изменений в отдельные постановления Региональной энергетической комиссии Свердловской области об установлении тарифов на тепловую энергию на территории городского округа Верхотурский"
Номер опубликования: 6601202211230020
Дата опубликования: 23.11.2022
Страница №6 из 17:
Увеличить