Официальное опубликование правовых актов
ОФИЦИАЛЬНОЕ ОПУБЛИКОВАНИЕ
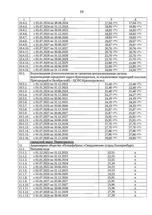
Постановление Региональной энергетической комиссии Свердловской области от 15.11.2022 № 204-ПК
"Об установлении тарифов в сфере холодного водоснабжения и (или) водоотведения организациям водопроводно-канализационного хозяйства Свердловской области с использованием метода индексации на основе долгосрочных параметров регулирования"
Номер опубликования: 6601202211230019
Дата опубликования: 23.11.2022
Страница №10 из 18:
Увеличить