Официальное опубликование правовых актов
ОФИЦИАЛЬНОЕ ОПУБЛИКОВАНИЕ
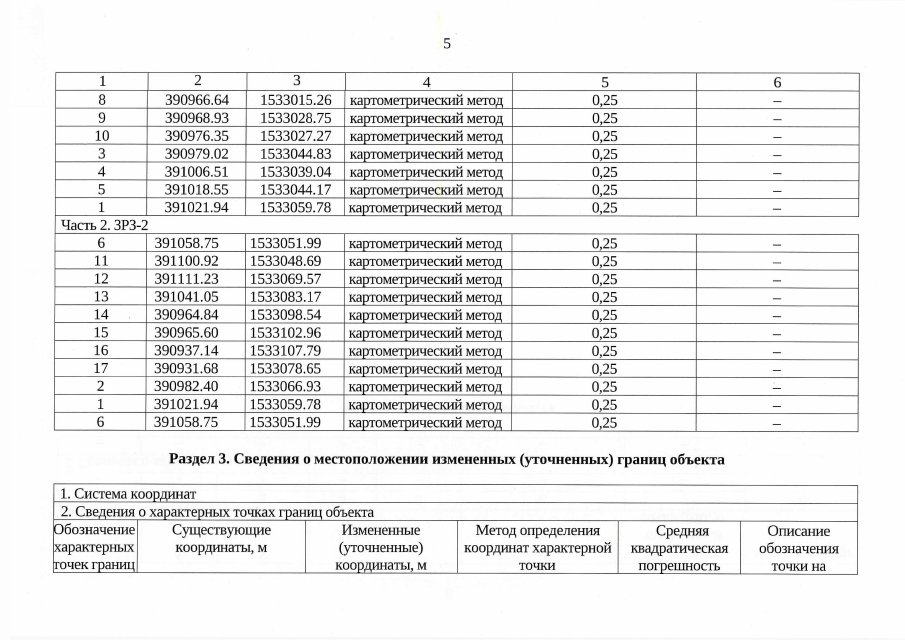
Приказ Управления государственной охраны объектов культурного наследия Свердловской области от 13.10.2022 № 777
"Об установлении зон охраны объекта культурного наследия регионального значения "Дом купца И.И. Афанасьева", расположенного по адресу: Свердловская область, г. Екатеринбург, ул. Маршала Жукова, д. 3, и утверждении требований к градостроительным регламентам в границах данных зон"
Номер опубликования: 6601202210140001
Дата опубликования: 14.10.2022
Страница №5 из 11:
Увеличить