Официальное опубликование правовых актов
ОФИЦИАЛЬНОЕ ОПУБЛИКОВАНИЕ
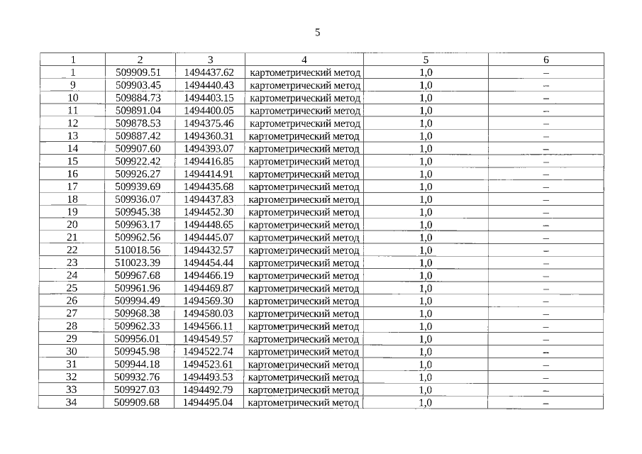
Приказ Управления государственной охраны объектов культурного наследия Свердловской области от 12.08.2022 № 532
"Об установлении зон охраны объекта культурного наследия регионального значения "Дом, где в мае 1919 г. проходило первое собрание комсомольцев и возникла городская организация РКСМ", расположенного по адресу: Свердловская область, г. Нижний Тагил, пр. Ленина, д. 7, и утверждении требований к градостроительным регламентам в границах данных зон"
Номер опубликования: 6601202208150007
Дата опубликования: 15.08.2022
Страница №5 из 12:
Увеличить