Официальное опубликование правовых актов
ОФИЦИАЛЬНОЕ ОПУБЛИКОВАНИЕ
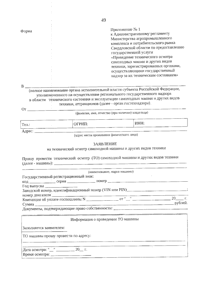
Приказ Министерства агропромышленного комплекса и потребительского рынка Свердловской области от 05.08.2022 № 406
"Об утверждении Административного регламента Министерства агропромышленного комплекса и потребительского рынка Свердловской области по предоставлению государственной услуги "Проведение технического осмотра самоходных машин и других видов техники, зарегистрированных органами, осуществляющими государственный надзор за их техническим состоянием"
Номер опубликования: 6601202208090001
Дата опубликования: 09.08.2022
Страница №49 из 66:
Увеличить