Официальное опубликование правовых актов
ОФИЦИАЛЬНОЕ ОПУБЛИКОВАНИЕ
Приказ Министерства строительства и развития инфраструктуры Свердловской области от 22.07.2022 № 344-П
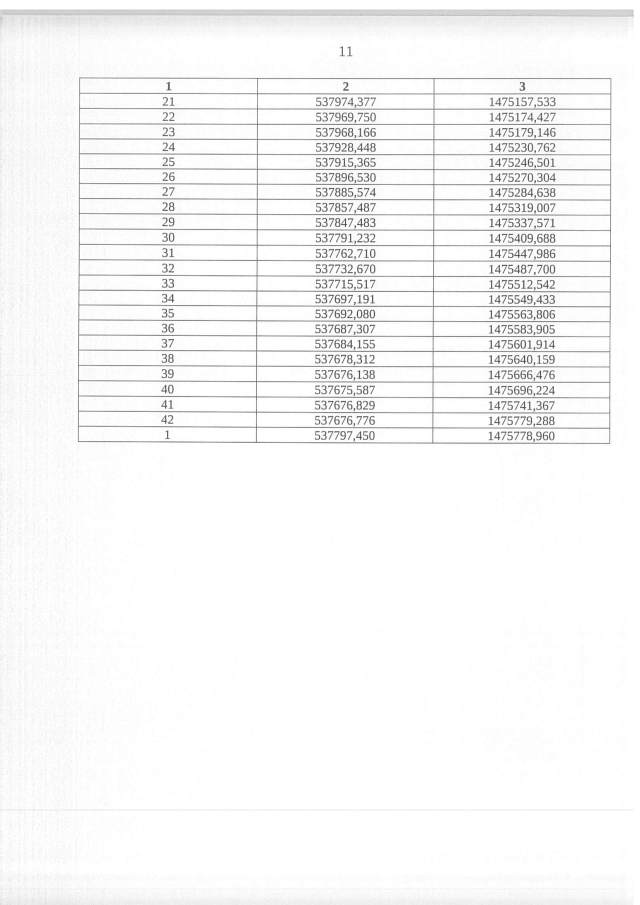
"О внесении изменений в документацию по планировке территории в части проекта межевания территории для размещения линейного объекта транспортной инфраструктуры регионального значения "Строительство мостового перехода через р. Ак-Тай на км 2+400 автомобильной дороги р.п. Баранчинский – р.п. Синегорский на территории Кушвинского городского округа"
Номер опубликования: 6601202207260002
Дата опубликования: 26.07.2022
Страница №11 из 24:
Увеличить