Официальное опубликование правовых актов
ОФИЦИАЛЬНОЕ ОПУБЛИКОВАНИЕ
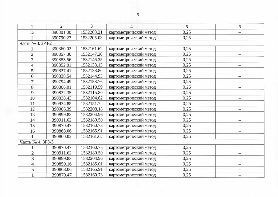
Приказ Управления государственной охраны объектов культурного наследия Свердловской области от 14.07.2022 № 474
"Об установлении зон охраны объекта культурного наследия регионального значения "Здание терапевтического отделения Городской больницы", расположенного по адресу: Свердловская область, г. Екатеринбург, Верх-Исетский бульвар, д. 5, и утверждении требований к градостроительным регламентам в границах данных зон"
Номер опубликования: 6601202207180007
Дата опубликования: 18.07.2022
Страница №6 из 13:
Увеличить