Официальное опубликование правовых актов
ОФИЦИАЛЬНОЕ ОПУБЛИКОВАНИЕ
Приказ Управления государственной охраны объектов культурного наследия Свердловской области от 28.04.2022 № 232
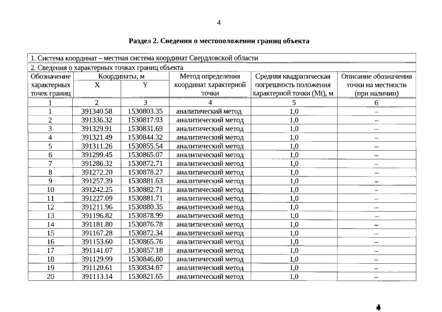
"Об утверждении графического описания местоположения границ защитной зоны объекта культурного наследия регионального значения "Господский дом в саду", расположенного по адресу: Свердловская область, г. Екатеринбург, ул. Кирова, д. 32, с перечнем координат характерных точек этих границ в системе координат, установленной для ведения Единого государственного реестра недвижимости, и режима использования земель в границах данной защитной зоны"
Номер опубликования: 6601202204290006
Дата опубликования: 29.04.2022
Страница №4 из 8:
Увеличить