Официальное опубликование правовых актов
ОФИЦИАЛЬНОЕ ОПУБЛИКОВАНИЕ
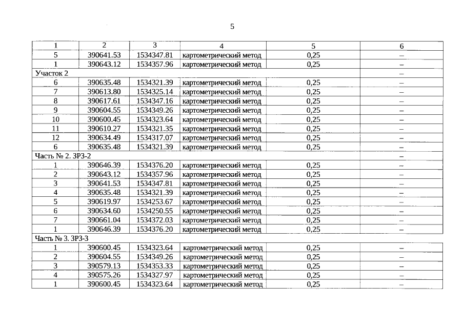
Приказ Управления государственной охраны объектов культурного наследия Свердловской области от 19.04.2022 № 211
"Об установлении зон охраны объекта культурного наследия регионального значения "Дом жилой", расположенного по адресу: Свердловская область, г. Екатеринбург, ул. Розы Люксембург, д. 8–10, литера А, и утверждении требований к градостроительным регламентам в границах данных зон"
Номер опубликования: 6601202204210002
Дата опубликования: 21.04.2022
Страница №5 из 10:
Увеличить