Официальное опубликование правовых актов
ОФИЦИАЛЬНОЕ ОПУБЛИКОВАНИЕ
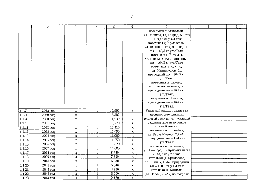
Постановление Региональной энергетической комиссии Свердловской области от 09.02.2022 № 17-ПК
"Об установлении тарифов на тепловую энергию, поставляемую публичным акционерным обществом "Т Плюс" (Красногорский район Московской области) на территории городского округа Первоуральск"
Номер опубликования: 6601202202160007
Дата опубликования: 16.02.2022
Страница №7 из 12:
Увеличить