Официальное опубликование правовых актов
ОФИЦИАЛЬНОЕ ОПУБЛИКОВАНИЕ
Приказ Управления государственной охраны объектов культурного наследия Свердловской области от 23.12.2021 № 505
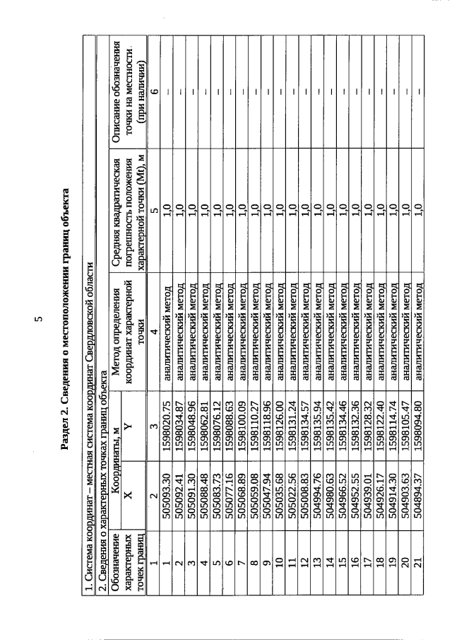
"Об утверждении графического описания местоположения границ защитной зоны объекта культурного наследия регионального значения "Деревянный дом", расположенного по адресу: Свердловская область, г. Алапаевск, ул. Смольниковых, д. 43, с перечнем координат характерных точек этих границ в системе координат, установленной для ведения Единого государственного реестра недвижимости, и режима использования земель в границах данной защитной зоны"
Номер опубликования: 6601202112230007
Дата опубликования: 23.12.2021
Страница №5 из 9:
Увеличить