Официальное опубликование правовых актов
ОФИЦИАЛЬНОЕ ОПУБЛИКОВАНИЕ
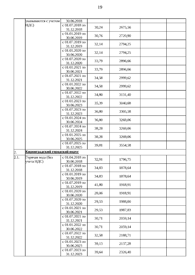
Постановление Региональной энергетической комиссии Свердловской области от 16.12.2021 № 236-ПК
"О внесении изменений в отдельные постановления Региональной энергетической комиссии Свердловской области по установлению тарифов на услуги горячего водоснабжения организациям, осуществляющим горячее водоснабжение с использованием закрытых систем горячего водоснабжения"
Номер опубликования: 6601202112210012
Дата опубликования: 21.12.2021
Страница №19 из 136:
Увеличить