Официальное опубликование правовых актов
ОФИЦИАЛЬНОЕ ОПУБЛИКОВАНИЕ
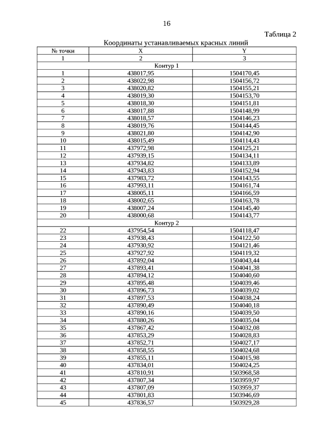
Приказ Министерства строительства и развития инфраструктуры Свердловской области от 24.09.2019 № 646-П
"Об утверждении основной части проекта планировки территории для размещения линейного объекта регионального значения "ПСЦМ. Хозяйственно-питьевой водопровод" и основной части проекта межевания территории для размещения линейного объекта регионального значения "ПСЦМ. Хозяйственно-питьевой водопровод"
Номер опубликования: 6601201909260001
Дата опубликования: 26.09.2019
Страница №16 из 45:
Увеличить