Официальное опубликование правовых актов
ОФИЦИАЛЬНОЕ ОПУБЛИКОВАНИЕ
Приказ Управления государственной охраны объектов культурного наследия Свердловской области от 14.05.2019 № 210
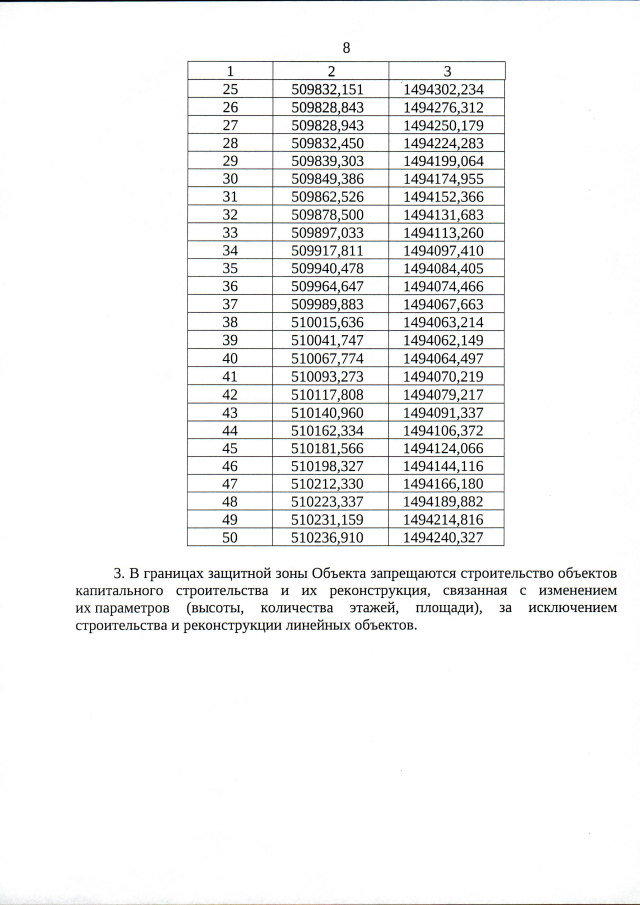
"Об утверждении графического описания местоположения границ защитных зон объектов культурного наследия регионального значения, расположенных в г. Нижний Тагил, с перечнем координат характерных точек этих границ в системе координат, установленной для ведения Единого государственного реестра недвижимости, и режимов использования земель в границах данных защитных зон"
Номер опубликования: 6601201905200008
Дата опубликования: 20.05.2019
Страница №8 из 8:
Увеличить