Официальное опубликование правовых актов
ОФИЦИАЛЬНОЕ ОПУБЛИКОВАНИЕ
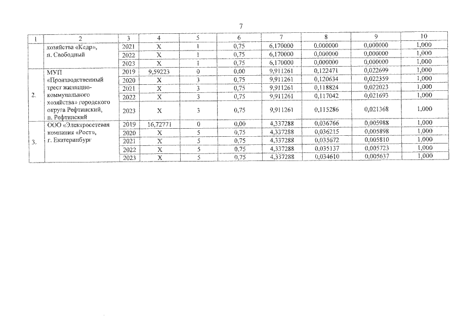
Постановление Региональной энергетической комиссии Свердловской области от 25.12.2018 № 320-ПК
"Об установлении индивидуальных тарифов на услуги по передаче электрической энергии для взаиморасчетов между сетевыми организациями, расположенными на территории Свердловской области, на 2019-2023 годы"
Номер опубликования: 6601201812280004
Дата опубликования: 28.12.2018
Страница №7 из 7:
Увеличить