Приказ Управления государственной охраны объектов культурного наследия Свердловской области от 25.12.2018 № 506
"Об установлении зон охраны объектов культурного наследия регионального значения, расположенных в г. Нижний Тагил, ул. Уральская, и утверждении требований к градостроительным регламентам в границах данных зон"
"Об установлении зон охраны объектов культурного наследия регионального значения, расположенных в г. Нижний Тагил, ул. Уральская, и утверждении требований к градостроительным регламентам в границах данных зон"
Номер опубликования: 6601201812250005
Дата опубликования:
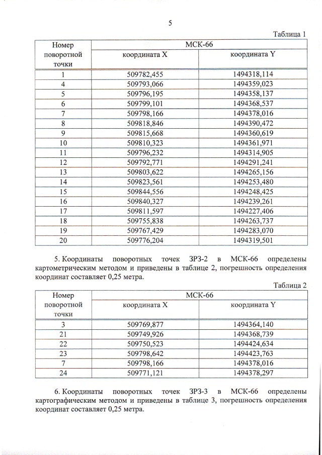
25.12.2018
