Официальное опубликование правовых актов
ОФИЦИАЛЬНОЕ ОПУБЛИКОВАНИЕ
Приказ Министерства строительства и развития инфраструктуры Свердловской области от 20.12.2018 № 729-П
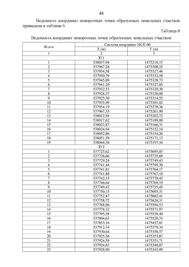
"Об утверждении основной части проекта планировки территории для размещения линейного объекта транспортной инфраструктуры регионального (межмуниципального) значения "Строительство мостового перехода через р. Ак-Тай на км 2+400 автомобильной дороги р.п. Баранчинский - р.п. Синегорский на территории Кушвинского городского округа" и проекта межевания для размещения линейного объекта транспортной инфраструктуры регионального (межмуниципального) значения "Строительство мостового перехода через р. Ак-Тай на км 2+400 автомобильной дороги р.п. Баранчинский - р.п. Синегорский на территории Кушвинского городского округа"
Номер опубликования: 6601201812250004
Дата опубликования: 25.12.2018
Страница №48 из 54:
Увеличить