Постановление Региональной энергетической комиссии Свердловской области от 28.11.2018 № 188-ПК
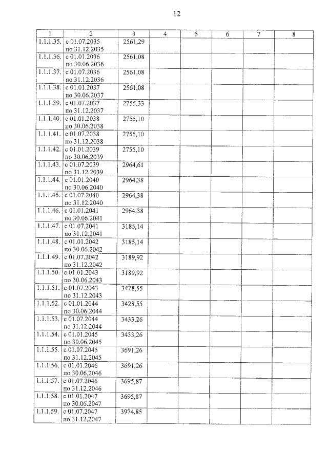
"Об установлении тарифов на тепловую энергию, поставляемую обществом с ограниченной ответственностью "Комфортный город" (город Сысерть) с использованием метода индексации установленных тарифов на основе долгосрочных параметров регулирования тарифов на 2018-2048 годы, и о внесении изменений в постановление Региональной энергетической комиссии Свердловской области от 13.12.2016 № 161-ПК "Об установлении тарифов на тепловую энергию, поставляемую теплоснабжающими организациями Свердловской области на 2017-2021 годы"
"Об установлении тарифов на тепловую энергию, поставляемую обществом с ограниченной ответственностью "Комфортный город" (город Сысерть) с использованием метода индексации установленных тарифов на основе долгосрочных параметров регулирования тарифов на 2018-2048 годы, и о внесении изменений в постановление Региональной энергетической комиссии Свердловской области от 13.12.2016 № 161-ПК "Об установлении тарифов на тепловую энергию, поставляемую теплоснабжающими организациями Свердловской области на 2017-2021 годы"
Номер опубликования: 6601201812050019
Дата опубликования:
05.12.2018
