Официальное опубликование правовых актов
ОФИЦИАЛЬНОЕ ОПУБЛИКОВАНИЕ
Приказ Министерства строительства и развития инфраструктуры Свердловской области от 23.10.2018 № 528-П
"Об утверждении основной части проекта планировки территории для размещения линейного объекта транспортной инфраструктуры регионального значения "Строительство автобусной остановки на км 6 автомобильной дороги г. Асбест – р.п. Малышева на территории Малышевского городского округа" и основной части проекта межевания территории для размещения линейного объекта транспортной инфраструктуры регионального значения "Строительство автобусной остановки на км 6 автомобильной дороги г. Асбест – р.п. Малышева на территории Малышевского городского округа"
Номер опубликования: 6601201810260001
Дата опубликования: 26.10.2018
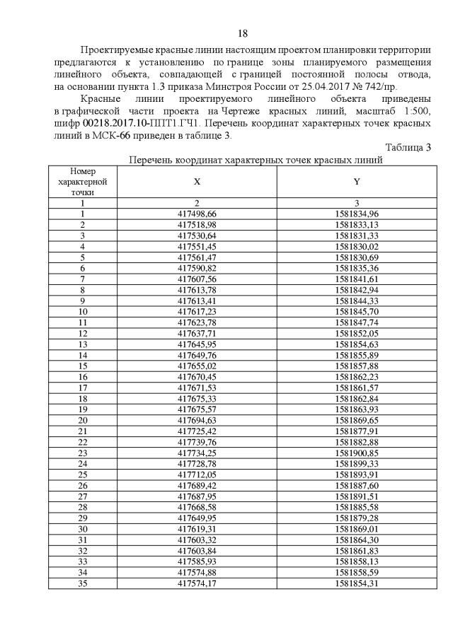
Страница №18 из 51:
Увеличить