Официальное опубликование правовых актов
ОФИЦИАЛЬНОЕ ОПУБЛИКОВАНИЕ
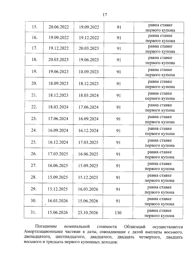
Приказ Министерства финансов Свердловской области от 17.10.2018 № 460
"Об утверждении Решения об эмиссии государственных облигаций Свердловской области 2018 года с фиксированным купонным доходом и амортизацией долга"
Номер опубликования: 6601201810190003
Дата опубликования: 19.10.2018
Страница №17 из 18:
Увеличить