Официальное опубликование правовых актов
ОФИЦИАЛЬНОЕ ОПУБЛИКОВАНИЕ
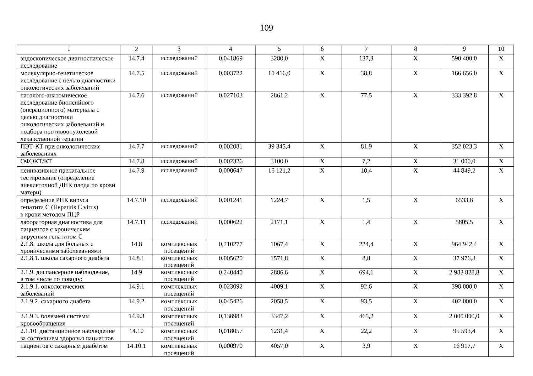
Постановление Правительства Свердловской области от 30.12.2025 № 788-ПП
"О Территориальной программе государственных гарантий бесплатного оказания гражданам медицинской помощи в Свердловской области на 2026 год и на плановый период 2027 и 2028 годов"
Номер опубликования: 6600202512300017
Дата опубликования: 30.12.2025
Страница №109 из 296:
Увеличить