Официальное опубликование правовых актов
ОФИЦИАЛЬНОЕ ОПУБЛИКОВАНИЕ
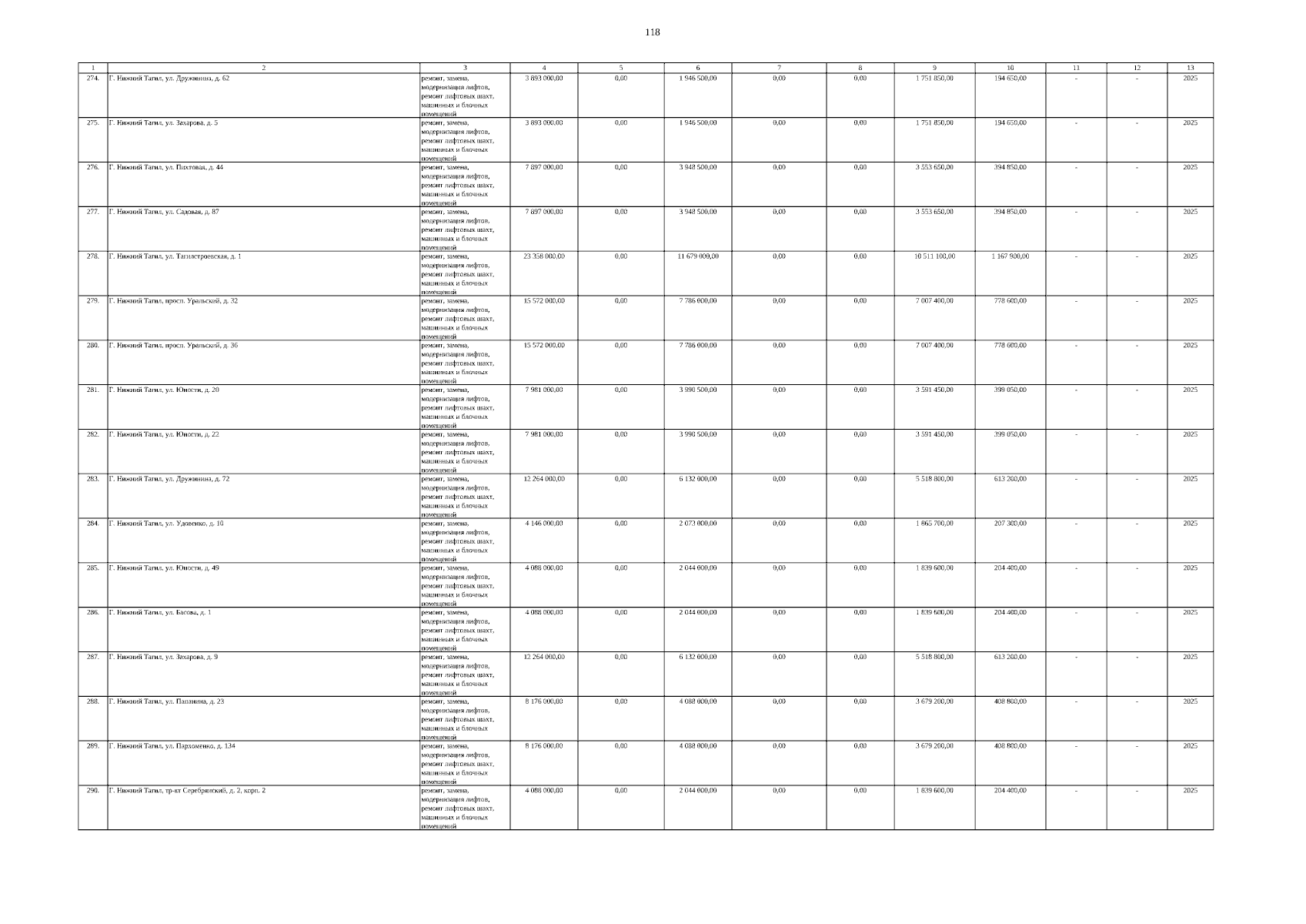
Постановление Правительства Свердловской области от 29.12.2025 № 786-ПП
"О внесении изменений в Краткосрочный план реализации Региональной программы капитального ремонта общего имущества в многоквартирных домах Свердловской области на 2024–2026 годы на территории Свердловской области, утвержденный постановлением Правительства Свердловской области от 10.08.2023 № 576-ПП"
Номер опубликования: 6600202512300012
Дата опубликования: 30.12.2025
Страница №118 из 121:
Увеличить