Официальное опубликование правовых актов
ОФИЦИАЛЬНОЕ ОПУБЛИКОВАНИЕ
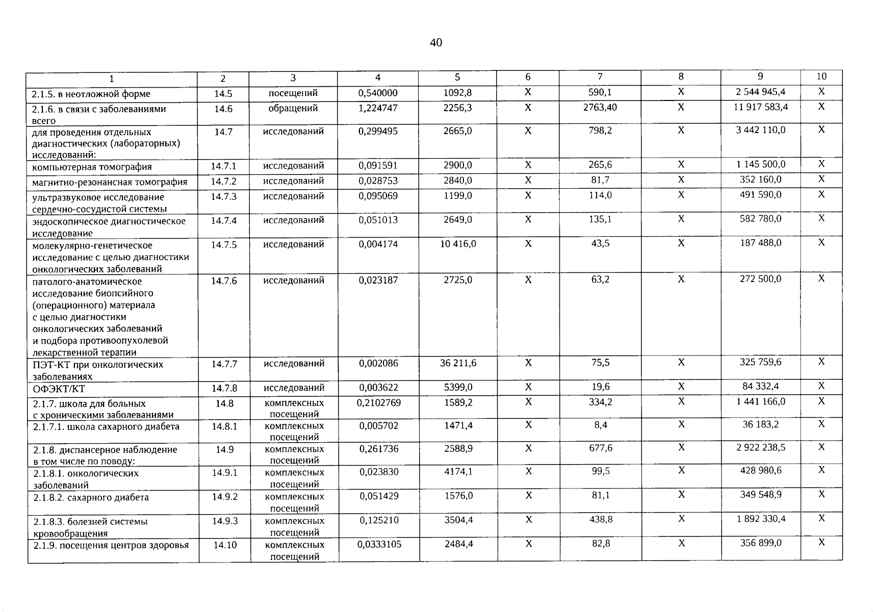
Постановление Правительства Свердловской области от 24.12.2025 № 734-ПП
"О внесении изменений в постановление Правительства Свердловской области от 13.03.2025 № 187-ПП "О Территориальной программе государственных гарантий бесплатного оказания гражданам медицинской помощи в Свердловской области на 2025 год и на плановый период 2026 и 2027 годов"
Номер опубликования: 6600202512270050
Дата опубликования: 27.12.2025
Страница №40 из 82:
Увеличить