Официальное опубликование правовых актов
ОФИЦИАЛЬНОЕ ОПУБЛИКОВАНИЕ
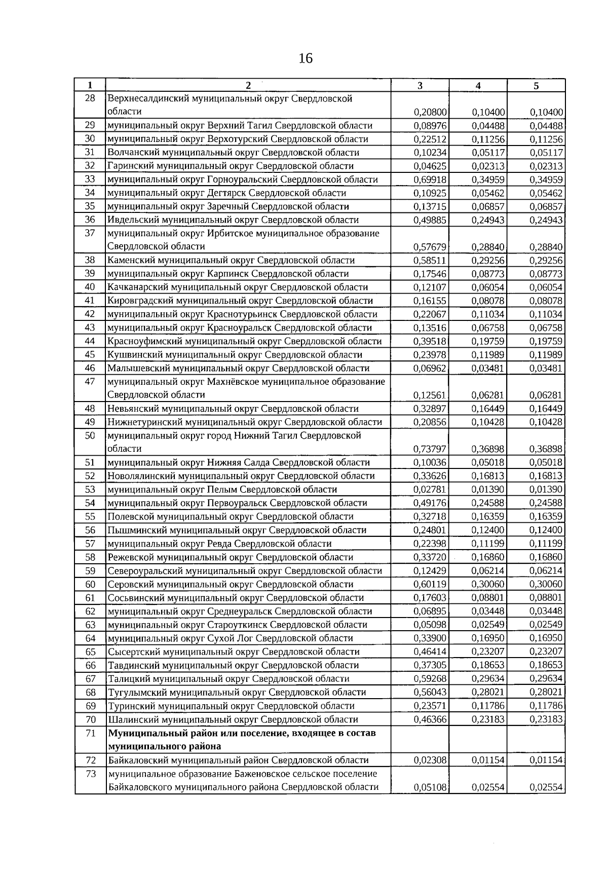
Закон Свердловской области от 10.12.2025 № 91-ОЗ
"Об областном бюджете на 2026 год и плановый период 2027 и 2028 годов"
Номер опубликования: 6600202512160002
Дата опубликования: 16.12.2025
Страница №16 из 471:
Увеличить