Официальное опубликование правовых актов
ОФИЦИАЛЬНОЕ ОПУБЛИКОВАНИЕ
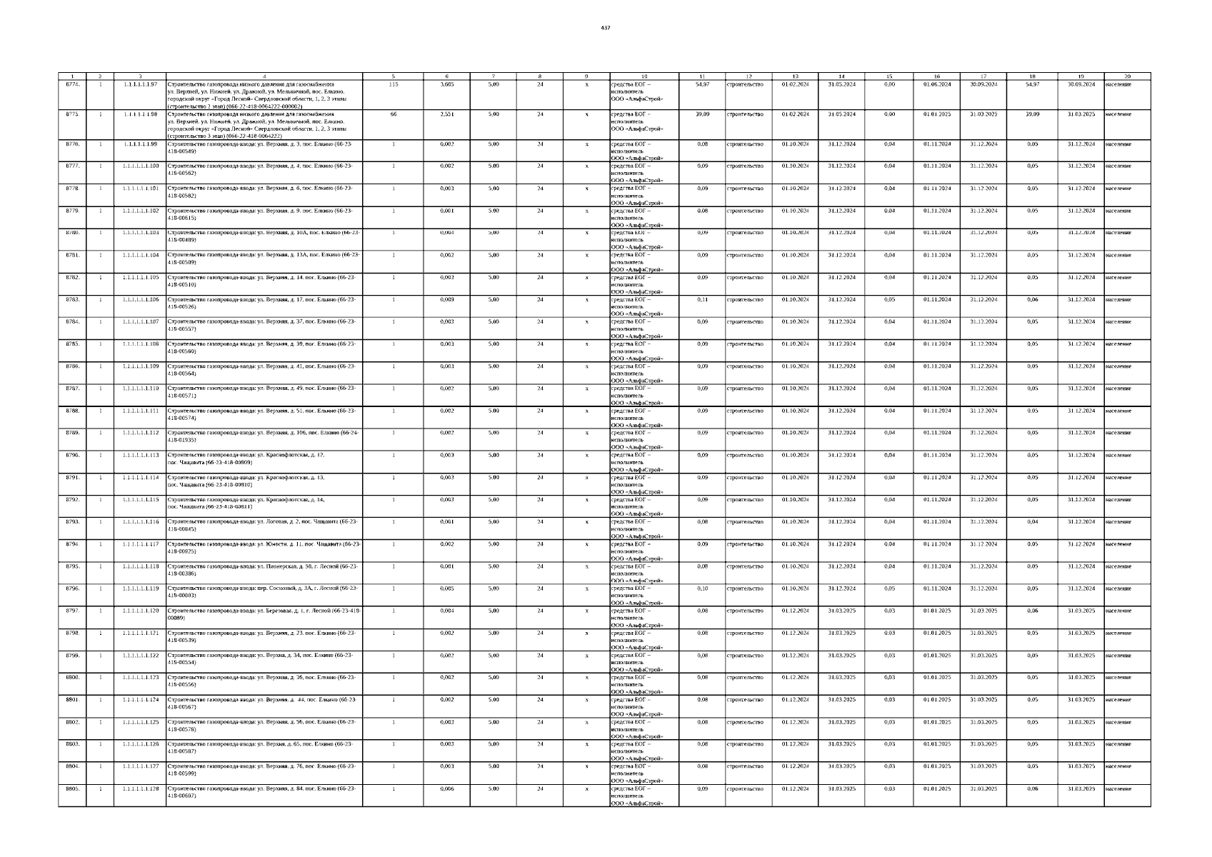
Указ Губернатора Свердловской области от 01.07.2025 № 255-УГ
"О внесении изменений в региональную программу газификации жилищно-коммунального хозяйства, промышленных и иных организаций Свердловской области на 2021–2030 годы, утвержденную Указом Губернатора Свердловской области от 29.12.2021 № 775-УГ"
Номер опубликования: 6600202507080005
Дата опубликования: 08.07.2025
Страница №437 из 4813:
Увеличить