Официальное опубликование правовых актов
ОФИЦИАЛЬНОЕ ОПУБЛИКОВАНИЕ
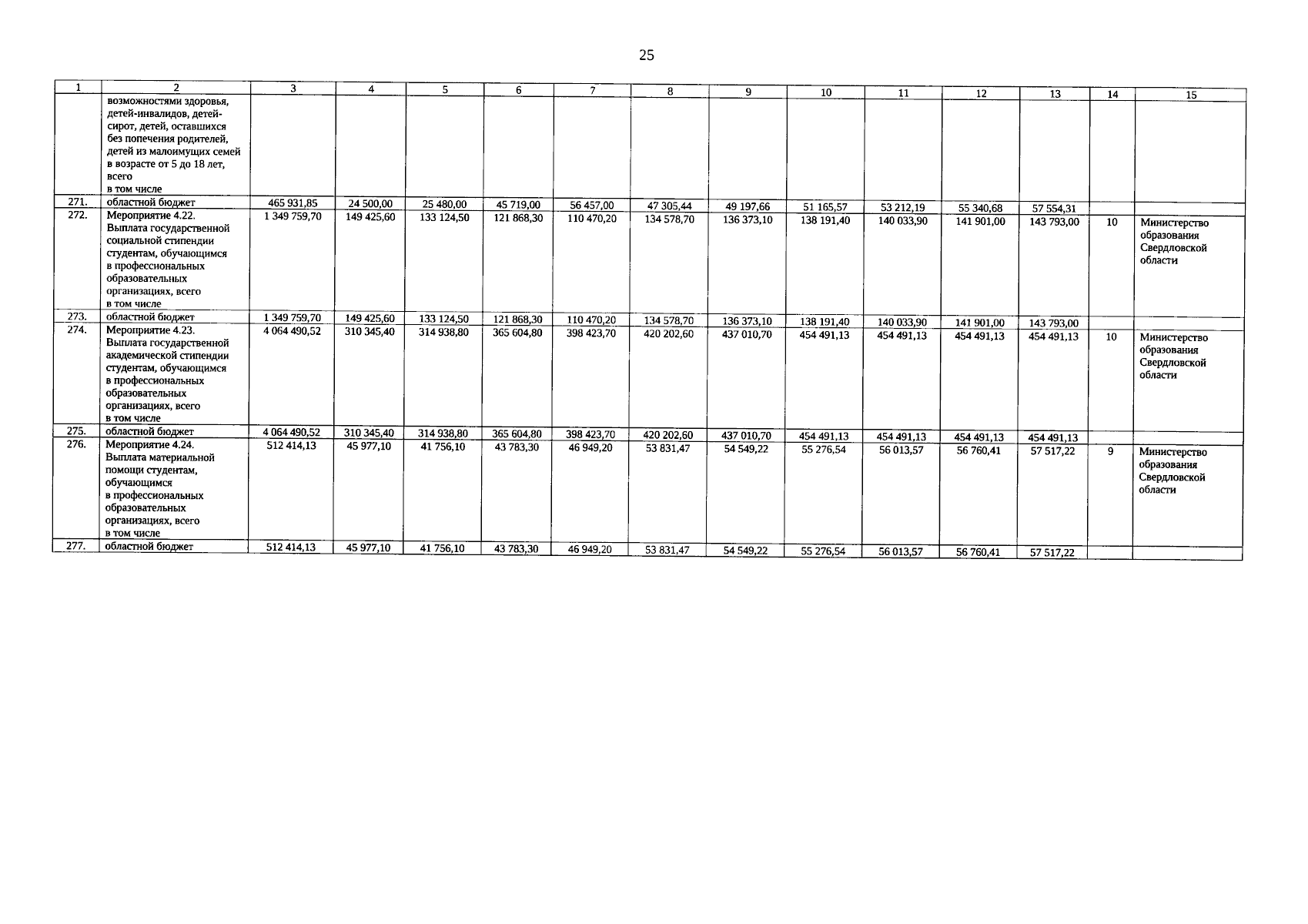
Постановление Правительства Свердловской области от 17.04.2025 № 231-ПП
"О внесении изменений в постановление Правительства Свердловской области от 22.07.2021 № 448-ПП "Об утверждении комплексной программы Свердловской области "Снижение уровня бедности в Свердловской области на период до 2030 года"
Номер опубликования: 6600202504210002
Дата опубликования: 21.04.2025
Страница №25 из 30:
Увеличить