Официальное опубликование правовых актов
ОФИЦИАЛЬНОЕ ОПУБЛИКОВАНИЕ
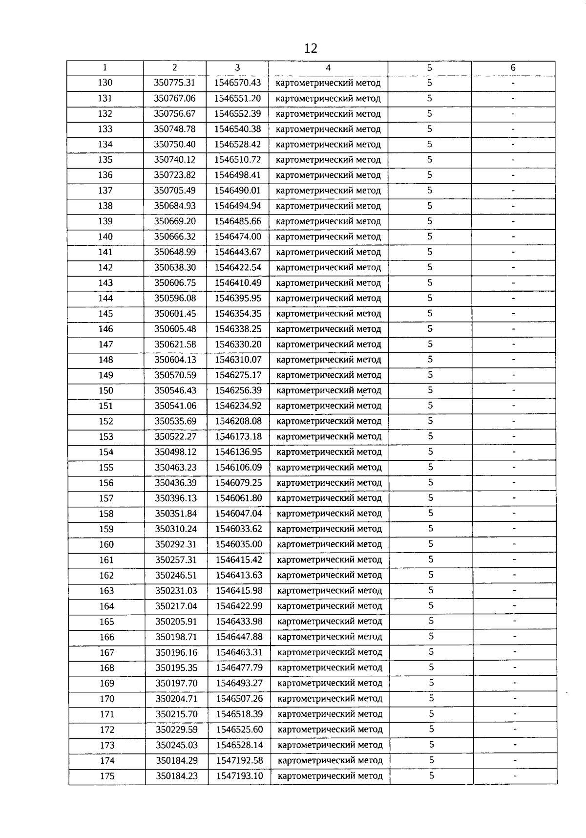
Постановление Правительства Свердловской области от 20.03.2025 № 199-ПП
"О внесении изменений в постановление Правительства Свердловской области от 02.04.2007 № 275-ПП "Об организации особо охраняемой природной территории областного значения "Природный парк "Бажовские места"
Номер опубликования: 6600202503240006
Дата опубликования: 24.03.2025
Страница №12 из 82:
Увеличить