Официальное опубликование правовых актов
ОФИЦИАЛЬНОЕ ОПУБЛИКОВАНИЕ
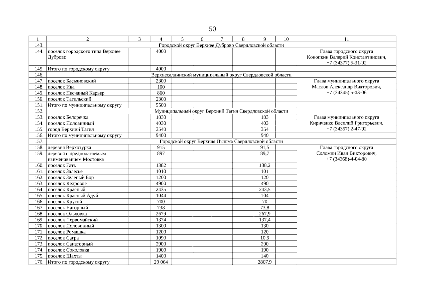
Указ Губернатора Свердловской области от 17.03.2025 № 82-УГ
"Об утверждении Сводного плана тушения лесных пожаров на территории Свердловской области на период пожароопасного сезона 2025 года"
Номер опубликования: 6600202503200001
Дата опубликования: 20.03.2025
Страница №50 из 171:
Увеличить