Официальное опубликование правовых актов
ОФИЦИАЛЬНОЕ ОПУБЛИКОВАНИЕ
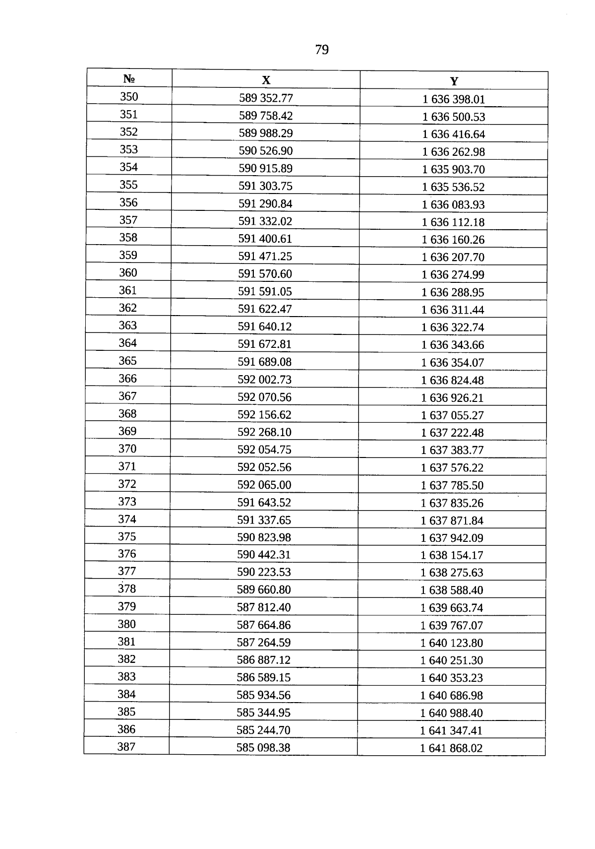
Закон Свердловской области от 23.12.2024 № 154-ОЗ
"О внесении изменений в отдельные законы Свердловской области"
Номер опубликования: 6600202412260021
Дата опубликования: 26.12.2024
Страница №79 из 109:
Увеличить