Официальное опубликование правовых актов
ОФИЦИАЛЬНОЕ ОПУБЛИКОВАНИЕ
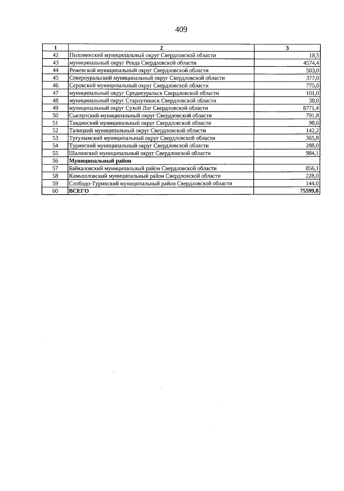
Закон Свердловской области от 04.12.2024 № 131-ОЗ
"Об областном бюджете на 2025 год и плановый период 2026 и 2027 годов"
Номер опубликования: 6600202412090005
Дата опубликования: 09.12.2024
Страница №409 из 498:
Увеличить