Официальное опубликование правовых актов
ОФИЦИАЛЬНОЕ ОПУБЛИКОВАНИЕ
Постановление Правительства Свердловской области от 15.08.2024 № 541-ПП
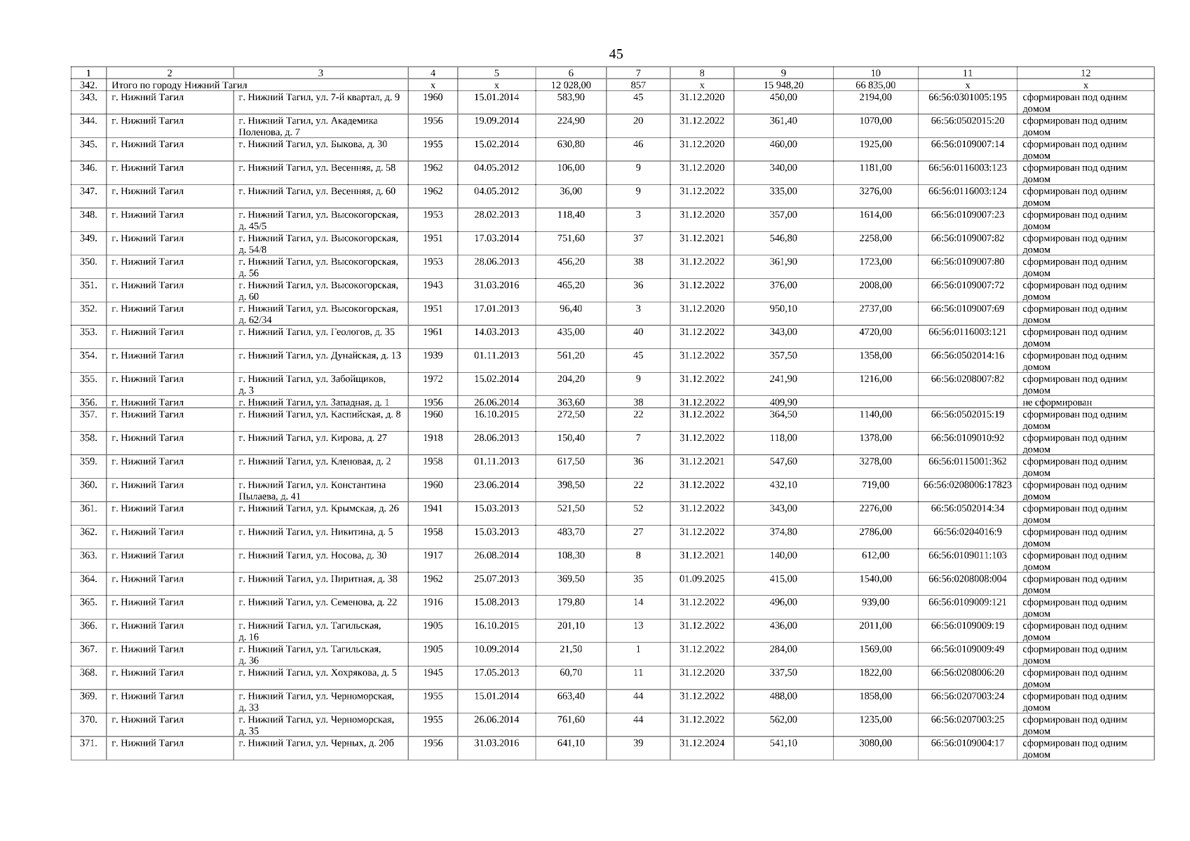
"О внесении изменений в региональную адресную программу "Переселение граждан на территории Свердловской области из аварийного жилищного фонда в 2019–2025 годах", утвержденную постановлением Правительства Свердловской области от 01.04.2019 № 208-ПП"
Номер опубликования: 6600202408190008
Дата опубликования: 19.08.2024
Страница №45 из 111:
Увеличить