Официальное опубликование правовых актов
ОФИЦИАЛЬНОЕ ОПУБЛИКОВАНИЕ
Постановление Правительства Свердловской области от 07.03.2024 № 161-ПП
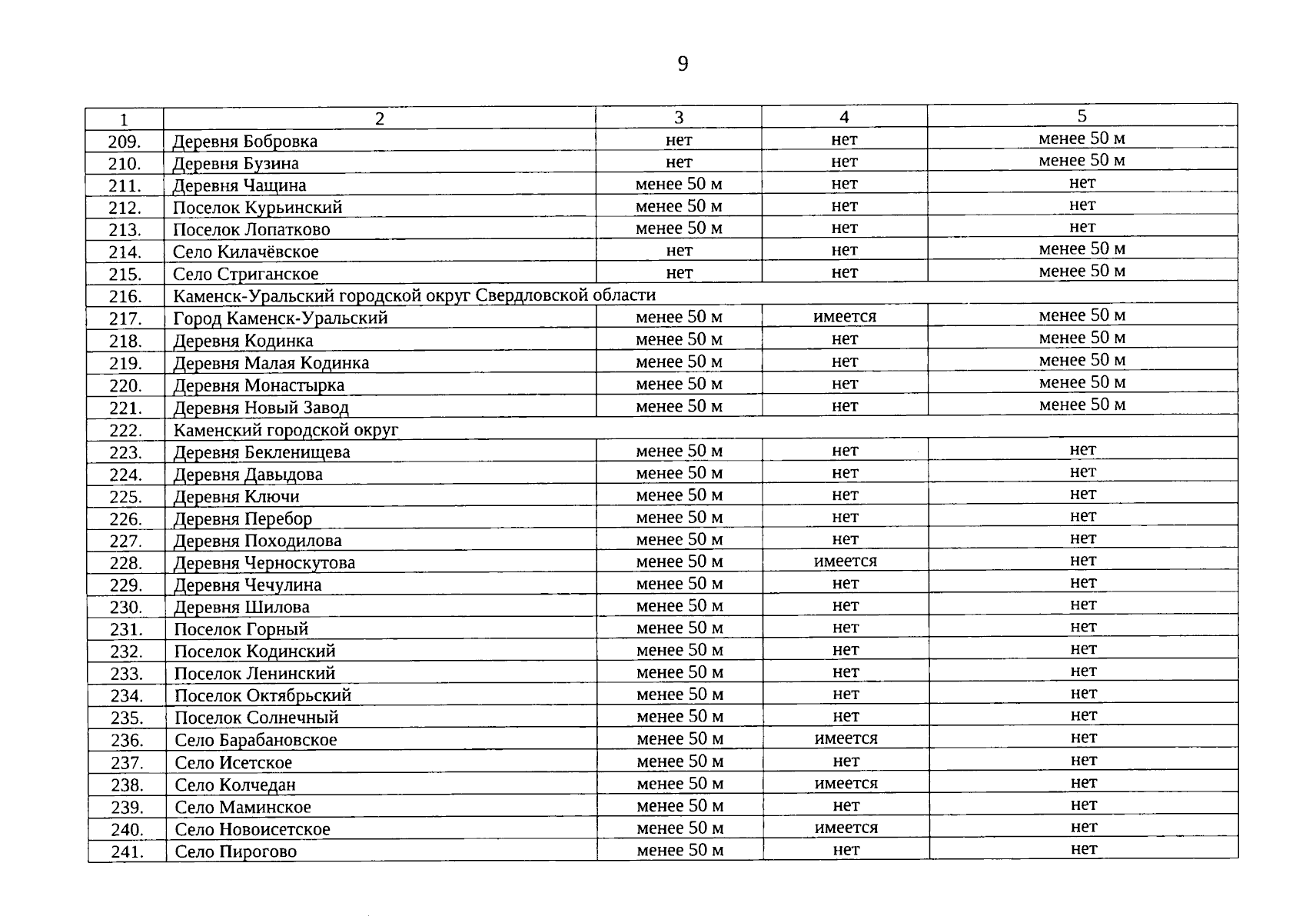
"О внесении изменений в постановление Правительства Свердловской области от 18.03.2021 № 142-ПП "О мерах по обеспечению готовности Свердловской областной подсистемы единой государственной системы предупреждения и ликвидации чрезвычайных ситуаций к пожароопасному сезону"
Номер опубликования: 6600202403140016
Дата опубликования: 14.03.2024
Страница №9 из 52:
Увеличить