Официальное опубликование правовых актов
ОФИЦИАЛЬНОЕ ОПУБЛИКОВАНИЕ
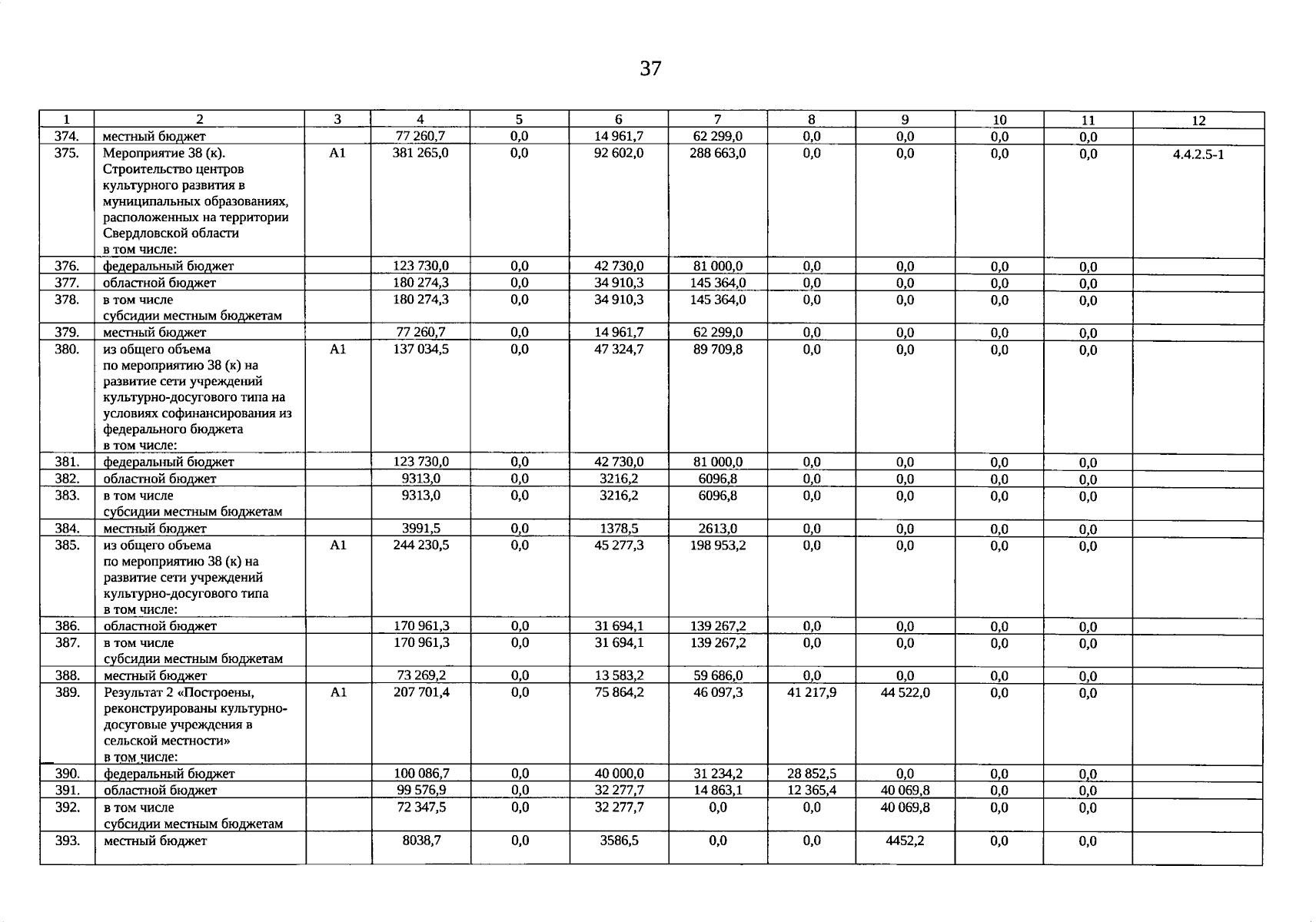
Постановление Правительства Свердловской области от 25.12.2023 № 1025-П
"О внесении изменений в государственную программу Свердловской области "Реализация основных направлений государственной политики в строительном комплексе Свердловской области до 2027 года", утвержденную постановлением Правительства Свердловской области от 24.10.2013 № 1296-ПП"
Номер опубликования: 6600202312270081
Дата опубликования: 27.12.2023
Страница №37 из 71:
Увеличить