Официальное опубликование правовых актов
ОФИЦИАЛЬНОЕ ОПУБЛИКОВАНИЕ
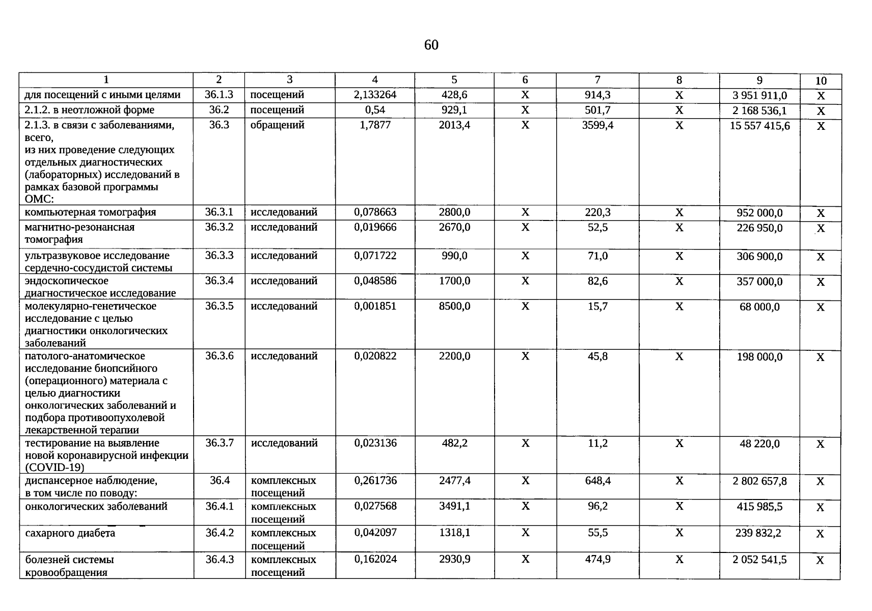
Постановление Правительства Свердловской области от 25.12.2023 № 1017-ПП
"О Территориальной программе государственных гарантий бесплатного оказания гражданам медицинской помощи в Свердловской области на 2024 год и на плановый период 2025 и 2026 годов"
Номер опубликования: 6600202312270022
Дата опубликования: 27.12.2023
Страница №60 из 201:
Увеличить