Официальное опубликование правовых актов
ОФИЦИАЛЬНОЕ ОПУБЛИКОВАНИЕ
Постановление Правительства Свердловской области от 14.12.2023 № 945-ПП
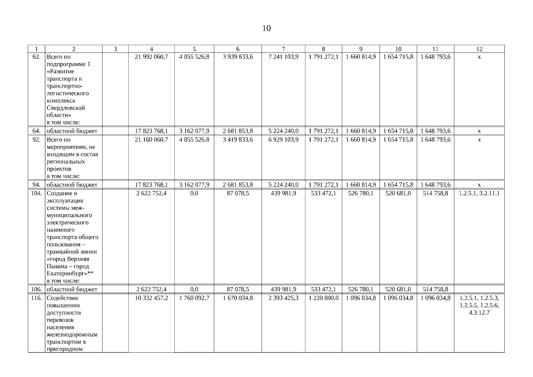
"О внесении изменений в государственную программу Свердловской области "Развитие транспортного комплекса Свердловской области до 2027 года", утвержденную постановлением Правительства Свердловской области от 25.01.2018 № 28-ПП"
Номер опубликования: 6600202312150013
Дата опубликования: 15.12.2023
Страница №10 из 23:
Увеличить