Официальное опубликование правовых актов
ОФИЦИАЛЬНОЕ ОПУБЛИКОВАНИЕ
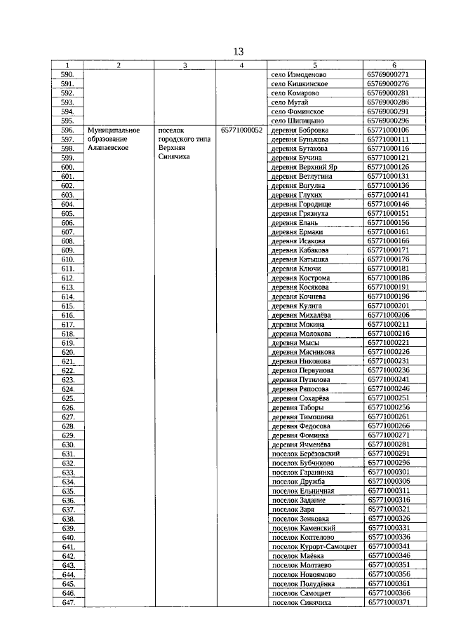
Постановление Правительства Свердловской области от 13.07.2023 № 496-ПП
"О внесении изменений в перечень опорных населенных пунктов и прилегающих населенных пунктов Свердловской области и определении уполномоченного исполнительного органа государственной власти Свердловской области по обеспечению выработки и реализации единых подходов к планированию и реализации мероприятий, направленных на ускоренное развитие инфраструктуры опорных населенных пунктов и прилегающих населенных пунктов Свердловской области, утвержденный постановлением Правительства Свердловской области от 16.02.2023 № 123-ПП"
Номер опубликования: 6600202307180001
Дата опубликования: 18.07.2023
Страница №13 из 28:
Увеличить