Официальное опубликование правовых актов
ОФИЦИАЛЬНОЕ ОПУБЛИКОВАНИЕ
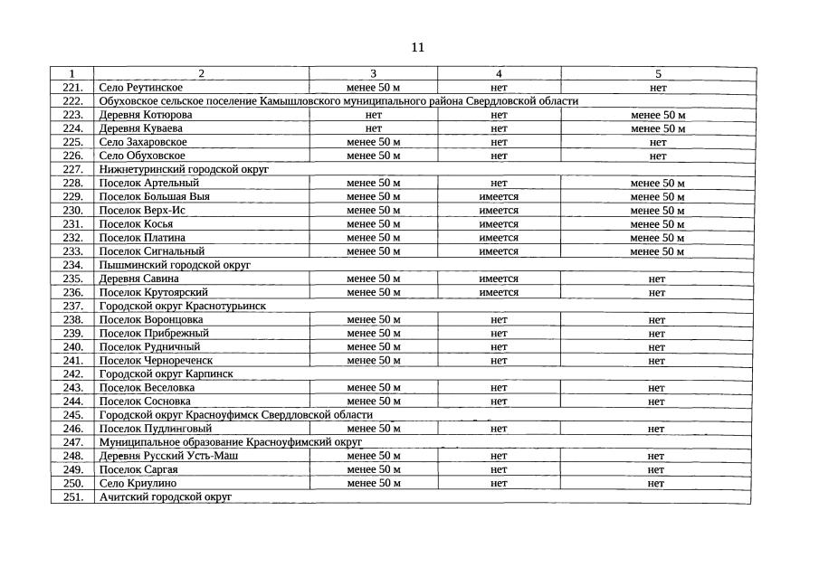
Постановление Правительства Свердловской области от 09.03.2023 № 164-ПП
"О внесении изменений в постановление Правительства Свердловской области от 18.03.2021 № 142-ПП "О мерах по обеспечению готовности Свердловской областной подсистемы единой государственной системы предупреждения и ликвидации чрезвычайных ситуаций к пожароопасному сезону"
Номер опубликования: 6600202303100010
Дата опубликования: 10.03.2023
Страница №11 из 69:
Увеличить