Официальное опубликование правовых актов
ОФИЦИАЛЬНОЕ ОПУБЛИКОВАНИЕ
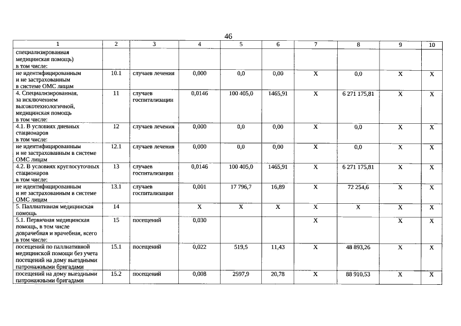
Постановление Правительства Свердловской области от 27.12.2022 № 975-ПП
"О Территориальной программе государственных гарантий бесплатного оказания гражданам медицинской помощи в Свердловской области на 2023 год и на плановый период 2024 и 2025 годов"
Номер опубликования: 6600202212290035
Дата опубликования: 29.12.2022
Страница №46 из 194:
Увеличить