Официальное опубликование правовых актов
ОФИЦИАЛЬНОЕ ОПУБЛИКОВАНИЕ
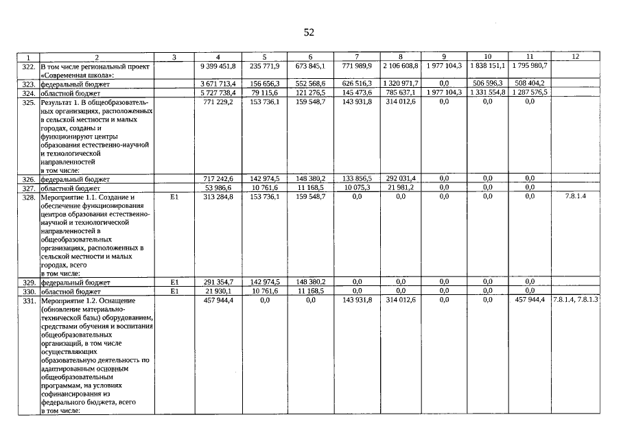
Постановление Правительства Свердловской области от 27.12.2022 № 924-ПП
"О внесении изменений в государственную программу Свердловской области "Развитие системы образования и реализация молодежной политики в Свердловской области до 2027 года", утвержденную постановлением Правительства Свердловской области от 19.12.2019 № 920-ПП"
Номер опубликования: 6600202212280014
Дата опубликования: 28.12.2022
Страница №52 из 72:
Увеличить