Официальное опубликование правовых актов
ОФИЦИАЛЬНОЕ ОПУБЛИКОВАНИЕ
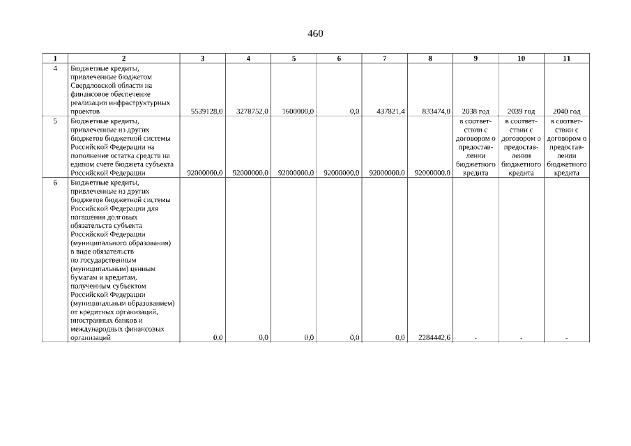
Закон Свердловской области от 07.12.2022 № 137-ОЗ
"Об областном бюджете на 2023 год и плановый период 2024 и 2025 годов"
Номер опубликования: 6600202212120038
Дата опубликования: 12.12.2022
Страница №460 из 463:
Увеличить