Официальное опубликование правовых актов
ОФИЦИАЛЬНОЕ ОПУБЛИКОВАНИЕ
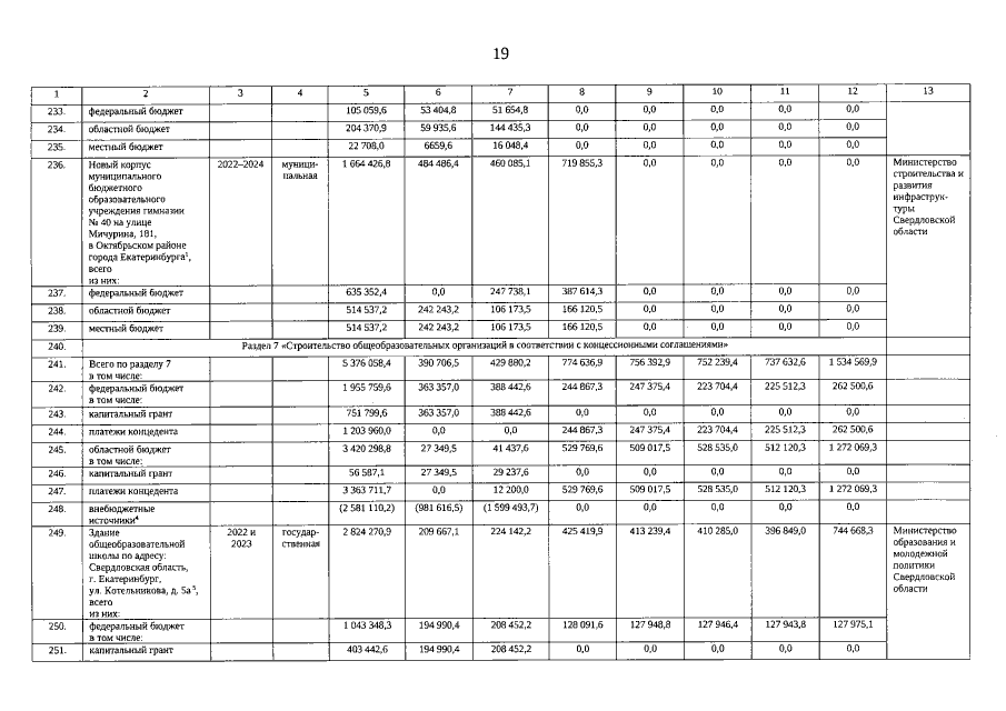
Постановление Правительства Свердловской области от 10.11.2022 № 759-ПП
"Об утверждении региональной программы "Реализация инфраструктурных проектов в Свердловской области с участием средств федерального бюджета"
Номер опубликования: 6600202211140014
Дата опубликования: 14.11.2022
Страница №19 из 47:
Увеличить