Официальное опубликование правовых актов
ОФИЦИАЛЬНОЕ ОПУБЛИКОВАНИЕ
Постановление Правительства Свердловской области от 10.06.2022 № 388-ПП
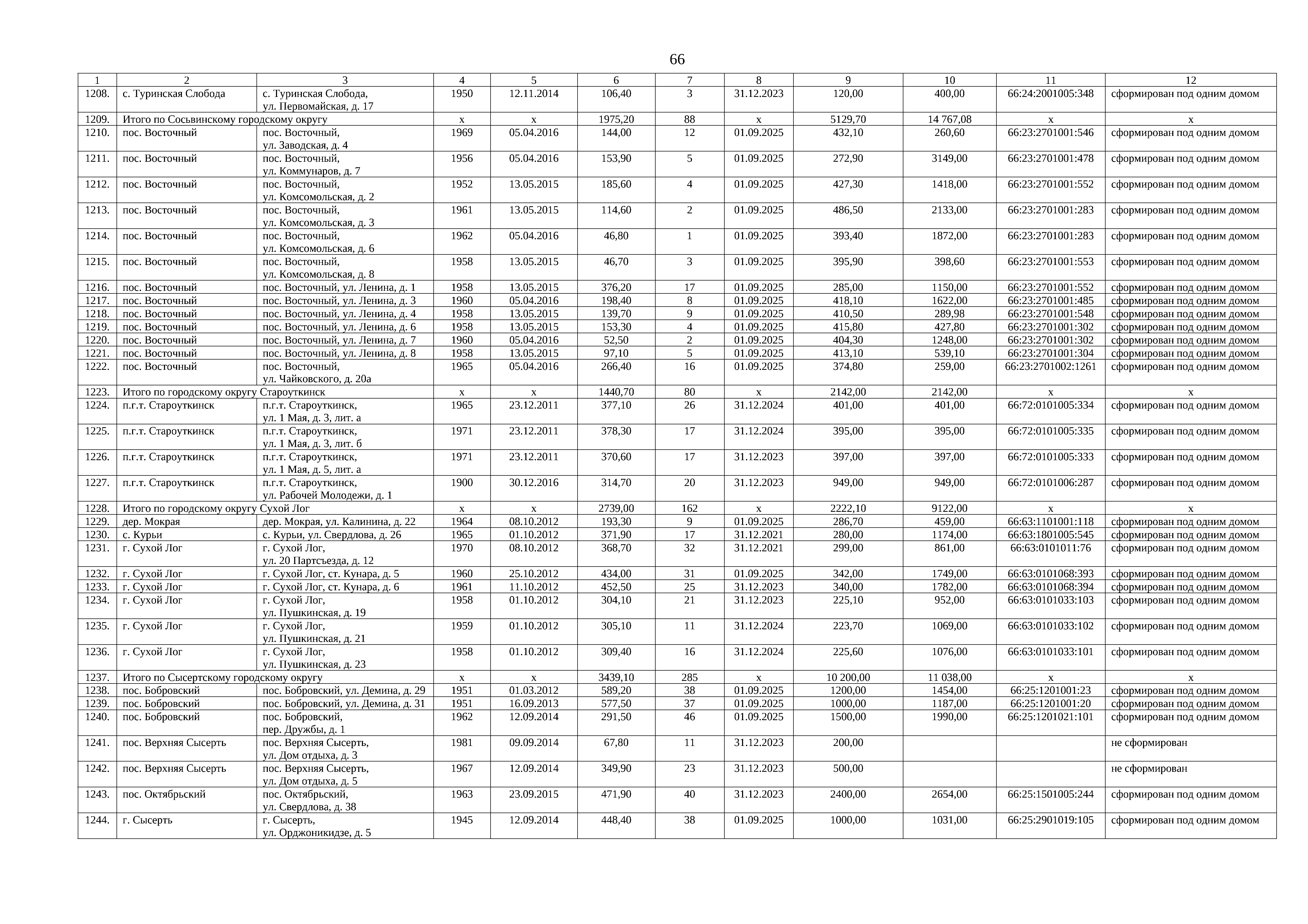
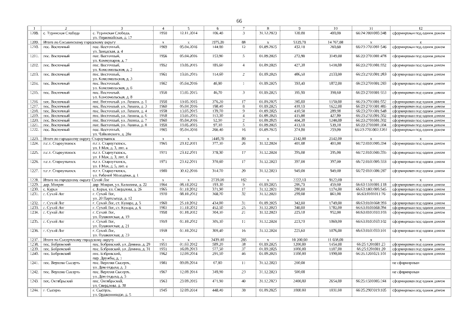
"О внесении изменений в региональную адресную программу "Переселение граждан на территории Свердловской области из аварийного жилищного фонда в 2019–2025 годах", утвержденную постановлением Правительства Свердловской области от 01.04.2019 № 208-ПП"
Номер опубликования: 6600202206160001
Дата опубликования: 16.06.2022
Страница №66 из 103: