Официальное опубликование правовых актов
ОФИЦИАЛЬНОЕ ОПУБЛИКОВАНИЕ
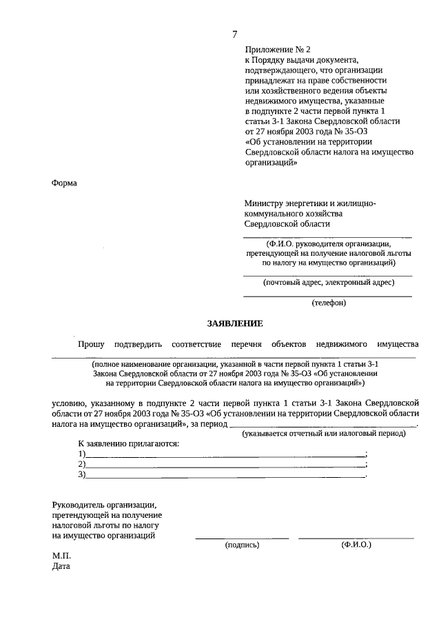
Постановление Правительства Свердловской области от 10.06.2022 № 379-ПП
"Об утверждении Порядка выдачи документа, подтверждающего, что организации принадлежат на праве собственности или хозяйственного ведения объекты недвижимого имущества, указанные в подпункте 2 части первой пункта 1 статьи 3-1 Закона Свердловской области от 27 ноября 2003 года № 35-ОЗ "Об установлении на территории Свердловской области налога на имущество организаций"
Номер опубликования: 6600202206150012
Дата опубликования: 15.06.2022
Страница №7 из 7:
Увеличить