Официальное опубликование правовых актов
ОФИЦИАЛЬНОЕ ОПУБЛИКОВАНИЕ
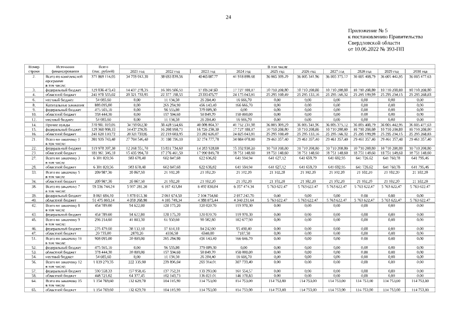
Постановление Правительства Свердловской области от 10.06.2022 № 393-ПП
"О внесении изменений в комплексную программу Свердловской области "Снижение уровня бедности в Свердловской области на период до 2030 года", утвержденную постановлением Правительства Свердловской области от 22.07.2021 № 448-ПП"
Номер опубликования: 6600202206150007
Дата опубликования: 15.06.2022
Страница №24 из 24: