Официальное опубликование правовых актов
ОФИЦИАЛЬНОЕ ОПУБЛИКОВАНИЕ
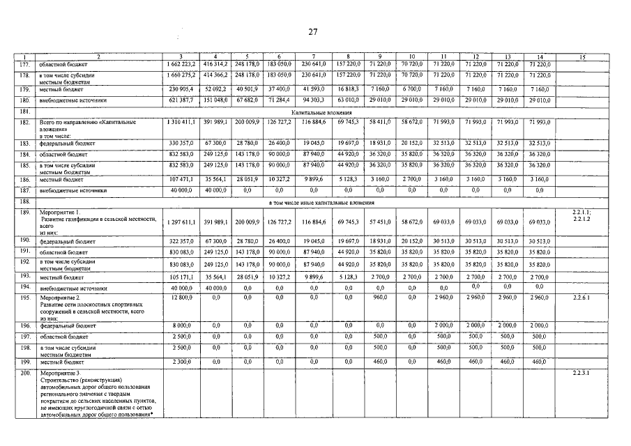
Постановление Правительства Свердловской области от 27.09.2018 № 647-ПП
"О внесении изменений в государственную программу Свердловской области "Развитие агропромышленного комплекса и потребительского рынка Свердловской области до 2024 года", утвержденную постановлением Правительства Свердловской области от 23.10.2013 № 1285-ПП"
Номер опубликования: 6600201810020012
Дата опубликования: 02.10.2018
Страница №27 из 35:
Увеличить