Официальное опубликование правовых актов
ОФИЦИАЛЬНОЕ ОПУБЛИКОВАНИЕ
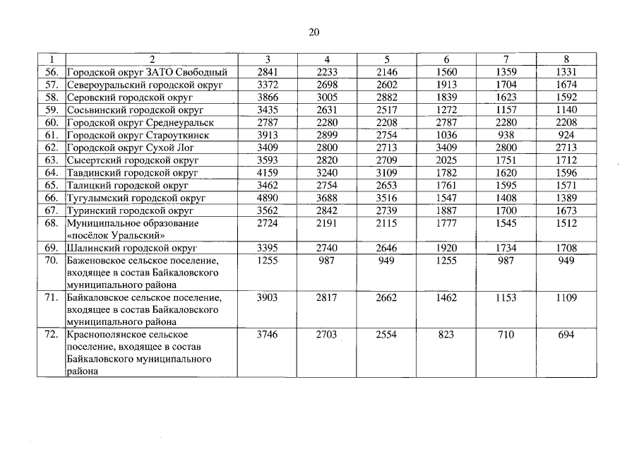
Постановление Правительства Свердловской области от 16.08.2018 № 534-ПП
"О мониторинге социально-экономического развития Свердловской области"
Номер опубликования: 6600201808220008
Дата опубликования: 22.08.2018
Страница №20 из 23:
Увеличить